成都金牛叶氏家规:耕读兴家 培养出了三任成都石室中学校长|天府好家规

华西都市报
关注封面新闻记者 曹笑 成都金牛报道
两三百年前,始祖因各种原因进入四川,安居下来并小有所成之后,就定下自己家族的家规,让后人践行、传承。这种家规故事,带有极大的普遍性。
但成都有一个家族的家规故事,却完全不一样。这个家族,就是成都金牛叶氏家族。
这个家族的始祖,302年前入川时,就随身携带着家族家规;在入川后的漫长岁月里,其祖先们又根据四川的人文地理、风俗人情、社会变革等等因素,对家规进行了增补、深化。叶氏一脉,因此在学界、音乐界、政界等诸多界别,都诞生了非常多的优秀族人,其中包括清代时期从五品以上大员57人,音乐家叶伯和、中国工程院院士叶尚福,还有先后担任成都石室中学校长或副校长的祖孙三代人等等。优秀族人之多,难以尽述。
叶氏家族,祖祖辈辈,严格依照家规为人处事、立家立业。历经300年风风雨雨,叶氏家族从最初始祖入川的7个人,繁衍生息、开枝散叶,到如今已是一个族人后代上万人的大家族。虽然叶氏族人习惯于自称“蓉城叶氏”,但因其族人大都生活在成都市金牛区,因此外界称之为“成都金牛叶氏”。
8月8日,封面新闻·华西都市报记者来到成都金牛区,在金牛区纪委监委、金牛区西华街道的协助下,实地进行调查、采访。
302年前 叶氏始祖带着家规入川
叶氏家规的故事,在叶中亮的叙述中,渐次展开。
叶中亮是叶氏家族第十一代,曾在央企工作,现在辞职出来组建了自己的公司。之外,他还有一个身份:成都金牛叶氏族谱修谱发起人之一。叶中亮说:成都金牛这支叶氏,是从广东入川的客家人叶必琅的后代。
叶必琅,字荣山,号锦芳,祖籍广东梅州府龙川县(今河源市龙川县)赤光镇下船坑村。
在清初“湖广填四川”的移民潮中,叶必琅于康熙60年(公元1721年),从下船坑村出发,带着妻钟氏及二子一女二媳,共7人,一路跋山涉水,徒步迁徙到了四川。
到四川什邡时,成都金牛叶氏开基祖叶必琅一行,所有财产仅剩二十金,只好暂住一个叫黎家坝的小地方。起初,叶必琅以租田地耕种为业,不常在一个地方;后又迁居新都新繁清流场,最后再迁到金牛区天成寺(现在的中海国际社区一带)。

叶氏家谱
安定下来之后,叶必琅给家里定的规矩是:儿子,农忙时就到田土里劳作,农闲时就去私塾读书认字;家里的女性,白天做饭,做好后送到田地里;晚上则在家纺纱织布。家里没有一个人游手好闲、不劳而食。慢慢地,叶必琅就将“耕读兴家”,补写进了叶氏家规。
为什么叫“补写”?因为叶姓在广东梅州,已是一个大家族,早已有了叶氏家规。叶必琅入川时随时携带着家规,入川后条件虽十分艰苦,仍“行序依照梅州叶氏族谱”。

叶氏第一世
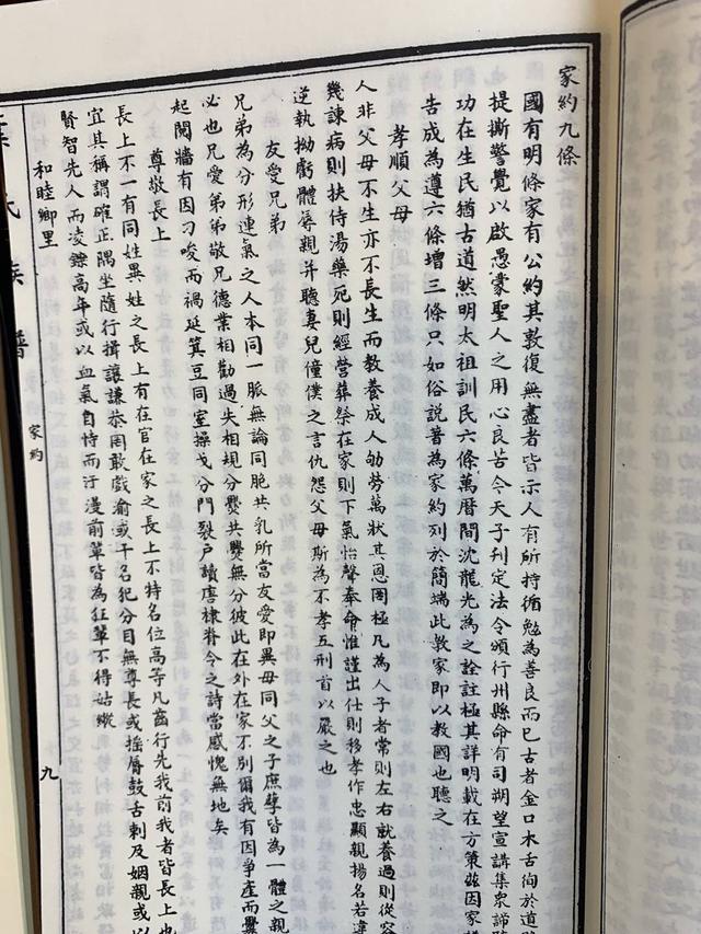
叶氏家规共九条,解读千余字。包括:“孝顺父母、友爱兄弟、尊敬长上、和睦乡里、各安生理、无作非为、早完课租、择配婚姻、敬慎祭扫”。

叶氏家规“家约九条”
其中的“各安生理”,文言文的含义翻译过来,大意是:每个人的一生都各自有从事的职业;做官的讲究古今治乱之道,便能提升治理水平,从而因之仕途显贵;农民致力耕种从而收获粮食;工匠钻研技艺从而财富殷盛;商人往来贸易从而谋取利润,都足以供自己一辈子吃穿用度,成家立业并遗赠子孙了。因此,所有的父亲兄长面对儿子弟弟,一定要选择与他们的天赋资质相近的术业来教授,使每个人都有各自的事业。
叶必琅根据当时四川的人文地理、风俗人情、社会变革等因素,也依据“各安生理”,将“耕读兴家”,增补为四川叶氏一脉的家规。
践行家规 家族出了三任石室中学校长
秉承耕读兴家之道,经过五、六代人的奋斗,叶氏已然成为川西坝子上的一个名门望族,家族发展慢慢进入了一个鼎盛时期。
到十八世纪中页至二十世纪初,百余年间,叶氏家族涌现出大批的杰出人才。
第二代到第七代,叶氏家族出了从五品以上大员,一共57人。比如,第二代三房向梅公(1752—1838) 从二品通奉大夫, 第五代二房宗旭公(1826—1888)从四品朝议大夫,第七代长房大璞公(1862—1905)保举五品衔。
践行家规“耕读兴家”的成都金牛叶氏族人,出过很多读书人。其中,清末光绪二十年(1894)甲午恩科进士叶大可,是家族影响很大的一位。
叶大可是叶必琅七世孙,曾在山东多县做知县。任职期间,叶大可做官清正,体察民情,兴利除弊。
叶氏家族一直倡导文明进步,并逐渐有了“教育世家”之美名。
清末时期,叶伯和的祖父在成都创办了“叶氏崇实学堂”;叶氏家族于1910年之后,又创办了榴荫小学及之后的奉思小学。抗战开始,榴荫小学迁至雍家渡。从此,该校坚持办学从未间断校名保留至今,现为金牛区西华街道著名小学校;2011年起,学校更名为成都市铁中府河学校。
那时,叶家人丁兴旺、后代众多,遍布成都全城,至少有19处叶家大院(或祠堂)。叶中亮说:“中华人民共和国成立前,学校课间休息的时间,成都街上的黄包车,拉的很多都是叶氏族人老师。因为叶氏族人老师一个人都同时在几个学校的上课,课间只能在各个学校之间来回跑。”
尤为值得一书的是,叶氏家族曾祖孙三代人、陆续担任成都石室中学的校长。包括成都联合县立中学(石室的前身)、成属联中(石室联中前身)、石室中学的校长。“具体任职时间,年代久远,不好查了。”叶中亮说。
但记得较为清楚的是:入川第七代,叶乃需的祖父叶大椽,曾任成都县女小、成都联合县立中学等校校长;入川第八代,叶乃需的父亲叶式鹏,曾任奉思小学、成属联中校长。
入川第九代的叶乃需(1921—2000),先后担任成都四中(石室中学)副校长,最后担任成都七中的校长。
传承家规 叶氏家族人才辈出
叶大封(1872—1927),是叶氏入川始祖第七代,日本明治大学毕业后,曾任四川省公署秘书长、省高等检察厅检察长。
1907年秋,叶大封买下一艘船,带着18岁、12岁的两个儿子,去日本留学。其中的大儿子,就是入川始祖的第八代叶伯和。
叶伯和聪颖过人,13岁就考中了秀才。
叶大封本来是准备让叶伯和与自己一样去学法政,但叶伯和却偷偷报考了日本音乐的最高学府——东京音乐学校。
1915年,叶伯和出任四川高等师范学校音乐科主任,主持开办了我国大学中第一个音乐专业“乐歌专修班”,并在成都的多所学校任教,是中国西南地区新音乐启蒙者与奠基人;历时8年写成的《中国音乐史》,填补了我国音乐史的空白。抗战爆发,叶伯和为募集寒衣、飞机款等,多次举行义演。
叶中亮是叶伯和的曾孙:“叶伯和1909年前后就开始了新诗创作,早于胡适的1916年。”其诗集《诗歌集》为我国第二部白话诗集,只比胡适的《尝试集》迟出版两个月。
其他“式字辈”杰出人才还有蜀派古琴叶氏一脉的开创者叶介福、著名天文学家叶式煇、“两弹一星”科学家叶式灿。
除成都七中原校长叶乃需外,叶氏入川第九代“乃字辈”的,还有数学家、教育家、成都理工大学(原成都地质学院)教授叶乃膺;叶乃祝,空军气象学院教授;叶乃锡,集邮家,四川省集邮协会副主席;叶云裳,2002年被中国空间技术研究院神舟学院聘为专职教授。
同为“乃字辈”的叶澜,其父参与攀枝花国家三线建设,叶澜1971年生于攀枝花,后考入上海外国语大学,目前定居美国西雅图,是微软总公司副总裁。叶乃全现在也居住在国外,本科及研究生皆就读于上海交通大学,后留学挪威科技大学获海洋工程博士,现为挪威工业联盟海洋研究院高级研究员。
入川第十代,叶氏“尚字辈”的叶尚福,中国工程院院士,国内杰出的通信技术专家,为国防现代化做出了重大贡献,1991年被批准为国家级有突出贡献的中青年专家。
入川第十代的叶尚洵,2000年出生,成都盐道街中学毕业后、考入四川警察学院,今年刚刚毕业。他师从名师多年,系统学习了古汉语、文言文等中国传统国学、具有深厚的国学功底。“现在也热心于家规方面的事,家谱中有很多文言文,都是他翻译成白话文的。”
而成都金牛叶氏家族,现在最小的,已经是第十三代,“照样从小就进行家规教育。叶氏家规,要世代传承下去。”叶中亮说。
附叶氏家规:
孝顺父母、友爱兄弟、尊敬长上、和睦乡里、各安生理、无作非为、早完课租、择配婚姻、敬慎祭扫,耕读兴家。

